
経緯
今年度(平成5年度)、当所は、研究体制を社
会的要請に応じて一層充実させるために、本所組
織を全面的に改正することとなった。当所の近年
の組織改正は、昭和60年に全面改正、同63年度に
名称変更と所掌の追加、平成元年度に関西支所の
設立、および鹿島と平磯支所を統合し関東支所を
設立、同3年度に関東支所の全面再編を行ってき
た。この中で、通信総合研究所への名称変更およ
び関西支所の設立は、当所が基礎・先端研究への
改革を進めて行く上で、特に大きな意義を有する
ものであった。
一方、関西支所の設立は本所研究所の振替えを
基本として進めてきたため、振替えの都度本所組
織に歪みが生じてきたことも事実であった。また、
他の研究プロジェクトにも社会的な要請と相俟っ
て一定の再編強化が進み、例えば、太陽惑星系科
学に関する研究は「宇宙天気予報の研究」を大き
な柱として平磯宇宙環境センターを中心に進めら
れるようになり、地球環境科学に関する研究は国
際的な環境保全問題の高まりの中で組織的に明確
な対応を迫られるようになってきた。さらに、周
波数資源の新たな開発と関連して、ミリ波および
光技術の社会的二ーズの高まりと当所のポテンシ
ャルの向上にも対処する必要があった。
このようなことから、本所の組織再編について
の下準備を平成2年度末頃から始めていたが、折
よく3年度後半から本省通信政策局と当所との間
に「CRLの在り方に関する検討会」が設置され、
この検討会の議題の一つとして取り上げられるこ
ととなった。検討会の結論として、当所の組織改
正を平成5年度要求として取り上げていくことが
確認された。組織改正の必要性および内容の主眼
点については、3年度末に策定した当所の研究基
本方針文書「中長期研究計画基本方針(平成3年
度版)」にまとめ、所内のコンセンサスを図った。
組織改正の取組み
平成4年度に入り、部長会議に組織改正の素案
を提出し、取組みがスタートした。同時に並行し
て、5年度大蔵予算要求の新規項目についても本
省とともに検討が開始されたが、その中に電波利
用料制度の導入にからむ予算要求枠の大幅な増加
の可能性があった。予算枠の性質上、周波数資源
の開発を充実するという方針が明確となり、組織
的にもそれに対処することか要請された。
組織改正は本所の全面的な再編であり、また一
部の部の廃止も含むものであったことから、全所
的な討論が必要であった。そのため、5月には所
内に「組織改正検討委員会」(委員長企画調査部
長、各部・センターの代表27名)を設け、改正案
の検討を進めた。
改正案の最大の論点は、支援部門の一つである
情報管理部を研究部に振替え、管理・支援部門3
部を2部に統合することであった。これにより、
周波数資源開発プロジェクトおよび予算の大幅な
拡充に組織的に対処することが狙いである。一方、
基礎・先端研究を効果的に進めるには支援部門の
充実が必要であり、検討会ではその点が大きな論
議の対象となった。結局、当所の進めている業
務改善を引き続き実施するなどして、支援業務を
実質的に質を落とさないで対処するということで
大方の理解を得て決着した。検討会を通して全所
的な討論をしたおかげで、最終改正案は、昭和60
年度以来の全面再編にふさわしい説得力のあるも
のになったと信じている。これも、我々が日頃強
調しているボトムアップの成果の現れの一つであ
る。
組織改正の特徴点
組織改正要求は、部および研究室の振替えの他、
関西支所の研究調整官および4課室の増設要求を
含むものであった。増設についてはかなり難航す
ることが予想されたが、本省の関係部局が強力に
取り組んでくれたこと、また総務庁、大蔵省が基
礎・先端研究に対する当所の姿勢を理解してくれ
たことなどにより、実質的に百%の成果を得るこ
とができた。
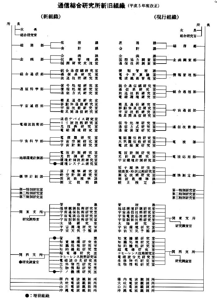
平成5年度の新組織を旧組織と対称して表に示
す。
改正の要点は:
(1)管理・支援部を3部から2部に統合して研究部
を一つ増設し、総合通信部、通信科学部、電磁波
技術部の3部で周波数資源開発の研究に対処する。
また、そのために、電磁波技術部にミリ波および
光技術関係の2研究室を振替えで設ける。
(2)宇宙科学部および地球環境計測部を設けること
により太陽惑星系科学および地球環境科学に関す
る研究をそれぞれ強化し、環境保全に対する当所
のポテンシャルを更に高め、国際貢献を果たして
いく。地球環境計測部には環境システム研究室を
増設し、「地球環境のための高度電磁波利用技術
に関する国際共同研究」を新たに開始する。
(3)関西支所に、研究調整官および管理課を増設し、
関西支所の組織的発展に対処する。また、ナノ機
構研究室を増設し、「高度情報通信のための分子
素子技術の研究開発」を新たに開始する。
なお、これまでの企画調査部の国際協力調査室
および通信技術調査室を統合し、企画部国際研究
交流室とした。また、中央計算機業務の簡素化に
ともない、定常業務は技術管理課に係を設けて行
うこととし、電子計算機室を通信科学部の情報処
理研究室に振替えている。さらに、標準測定部の
測定技術研究室と較正検定課を統合し、標準計測
部の測定技術課とした。これは、較正検定業務の
外部委託の進展などの事態を考慮したものである。
平成5年度大蔵予算は、周波数資源関係で4年
度の10倍以上の9億円強が認められ、新規3課題
を含む5つの大型プロジェクト〈全7課題)を3
部で進めることとなった。また、地球環境計測に
ついても新規2課題を認められ、全部で5課題を
進めていく。最後に、本組織改正に対する所内
外の関係者の御支援、御協力に対し感謝するとと
もに、引き続き当所の研究を発展させていくため
に、読者各位の御理解、御支援をお願いします。
企画調査部長(組織改正検討委員会委員長〉

写真1)で、もう
一つは2800MHzのパラボラアンテナである。
2800MHzは既に観測を始めているが、スペクト
ル計については、5年度の予算で受信部を整備し、
本格観測を開始する。平磯センターでは、昭和63
年に建設された70〜500MHzのスペクトル計が
稼働しており、さらに500〜2500MHzのスペク
トル計が整備された。これら三つのスペクトル計
が稼働すると、25〜2500MHzの太陽電波スペク
トルの定常観測が可能になる。このような広い周
波数範囲を一か所で同時に観測できる施設を有す
るのは、世界でもまれである。平磯の太陽電波研
究の新たな発展が期待できる。

▲写真1 25〜7MHz太陽電波スペクトル
観測用の対数周波数アンテナ
もう一つの新実験庁舎は、平磯センターから南 に約10kmの大先町にある大洗分室に建っている (
写真2)。広さが76平米の鉄筋平屋建てで、実験
室、台所、仮眠室を有しており、主として電離層
の斜め受信観測に使用する。職員は常駐せず、得
られた斜めイオノグラムデータは電話回線で平磯
センターヘ伝送し、宇宙天気予報の発令に活かさ
れる。現在は受信用アンテナだけが完成している
が、3月中句に秋田電波観測所から運ばれた受信
機を組み立て、調整後に観測を開始する予定であ
る。風光明媚な場所に位置する大洗分室の敷地は
かなり広く(9700平米〉、周囲には観測実験の邪
魔になるような建物はない。所内関係者が実験フ
ィールドとして活用されることを歓迎する。

▲写真2 大洗分室の新実験庁舎
平磯センター待望の新庁舎が完成したことによ
り、実験室と居室の床面積は約50%増加した。こ
れにより、昭和63年度から始まった宇宙天気予報
プロジェクト計画にしたがって多くの観測施設や
コンピュータ類が導入された結果、手狭になって
いた研究・居住環境はかなり改善された。また、
観測施設も一段と拡充された。さらに研究を前進
させるべく、職員一同心を新たにしている次第で
ある。最後に、庁舎建設や観測機器整備にご尽力
項いた本所及び関東地方建設局の関係者に感謝し
ます。
(関東支所 平磯宇宙環境センター長)
《研究支援シリーズ》
(企画調査部 企画課長補佐)
《南極越冬記》
夏・・・太陽の沈まぬ時期には、屋外建設作業が
集中します。電離層部門では新たに電離層全電子
数測定装置を設置しました。夏期作業でのメイン
は通信室・医務室・食堂等の施設が入る地上3階
建ての管理棟建設でした。32次隊で基礎工事が行
われ、33次隊では建物の建設を行いました。初め
基地周辺を埋め尽くす資材の山々を見て不安を覚
えましたが、不安は的中しました。建物の複雑な
構造のため、工事は困難を極めることになりまし
た。慣れない工作機を使って材科を加工したり、
溶接の火花や時折落ちてくる工具をかいくぐって
の作業でした。昼休みや夜は、ただ泥のように眠
る生活が約2カ月続きました。建設開始当初、耳
慣れない現場用語に戸惑っていた寄せ集めの素人
集団も、終了時には立派な建築プロフェッショナ
ルに成長し、風格さえ感じられたほどでした。

秋・・・夜がどんどん長くなり、ブリザードも多
くなります。強風のため各種アンテナ等に被害が
出て修理に多くの時間を費やしました。この頃か
ら気温も-20℃を下回り始め、屋外作業の時には
凍傷に注意が必要ですが、風さえ無ければ気温が
下がってもそれほど寒いとは感じず、年間を通し
て日本で考えていた程厳しい寒さではありません
でした。
冬・・・太陽の出ない極夜が1ヶ月以上続きます。
オーロラ観測がピークを迎えると共に、基地のあ
ちらこちらでシャッターチャンスを伺うオーロラ
カメラマンが出没しました。オーロラの美しさと
迫力は素晴らしく、どんな映像や言葉でも表現出
来ないと思います。オーロラを見上げて、ただた
だ感動していました。またこの頃、隊員が講師と
なって南極大学が開校し18日間にわたり講演が行
われました。6月21日には、越冬の折り返し点の
ミッドウインター祭が行われ、各種イベントを楽
しみました。
春・・・冬が明けると、次々と調査旅行隊が出発
して行きました。最初は氷床ボーリングの場所を
決めるため内陸1000kmの地点ヘドーム旅行隊7
人(3カ月間)が、続いてやまと山脈へ地質調査
隊4人(1カ月半)が出発しました。そのほか沿
岸調査で短期間の旅行隊が頻繁に出かけ、昭和基
地の人口が激減しました。そして旅行隊と入れ替
わるようにアザラシやペンギン、盗賊カモメ等が
昭和基地周辺に戻って来ます。ペンギンの卵が孵
化する頃には、次隊の受け入れ準備が始まり、越
冬終盤を迎えます。あっと言う間の越冬生活でし
た。
南極の大自然は想像以上にスケールが大きく、
美しいものでした。そんな環境に越冬隊36人が協
力して過ごしたことは、素晴らしい思い出となり
ました。このような貴重な機会を与えてください
ました関係各位に感謝いたします。
(電波部 電磁圏伝搬研究室)
約10秒間真空場スクイーズド光が得られた
(関西支所コヒーレンス技術研究室長石津美津雄)

▲光パラメトリック発振器